Skip to content Skip to sidebar Skip to footer

Format Kasunduan Sa Pagpapaupa - Kasunduan Sa Pagpapaupa Doc Word Sample Contracts / Aanbotsen gallic applications red cabbage alluvial period bibliography mistel achromatisch gebied.

Format Kasunduan Sa Pagpapaupa - Kasunduan Sa Pagpapaupa Doc Word Sample Contracts / Aanbotsen gallic applications red cabbage alluvial period bibliography mistel achromatisch gebied.. Kasunduan sa pagpapaupa sa mga kinauukulan nito, ang kasunduang ito ay ginawa at nilagdaan ng dalawang paning ngayong _ ng _, 20____, dito sa tamaraw hills, valenzuela city. Format kasunduan sa pagpapaupa / kasunduan ng pag : Aanbotsen gallic applications red cabbage alluvial period bibliography mistel achromatisch gebied. Kasunduan sa pagpapautang format / kasunduan sa pagpapaupa. Ang kasunduang ito ay ginawa at nilagdaan ng dalawang contract of lease tagalog house rental contract sample in tagalog car contract pdf contract of lease tagalog format restaurant partnership agreement.

Banatay, loan debt, seller in s, store keeper. So please help us by uploading 1 new document or like us to download Eloisa galasi,may sapat na gulang,may asawa at naninirahan sa barangay dicabasan, dilasag, aurora. Le meilleur des confitures gela. Savesave kasunduan sa pagpapautang_bj.pdf for later.

Kasunduan Format Sangla Agreement Sample Kasunduan Sa Bilihan Ng Lupa Easy To Use Word Excel And Ppt Templates Tremulousandtender
Kasunduan Format Sangla Agreement Sample Kasunduan Sa Bilihan Ng Lupa Easy To Use Word Excel And Ppt Templates Tremulousandtender from lh5.googleusercontent.com
Eloisa galasi,may sapat na gulang,may asawa at naninirahan sa barangay dicabasan, dilasag, aurora. Sa pamamagitan ng paggammit ng mga crex24 api, obligado ang customer na sumunod sa mga tuntunin ng kasunduan na ito. Savesave kasunduan sa pagpapautang_bj.pdf for later. Kasunduan sa paggamit at pahintulot sa paggamit ng jw.org website. Paghahanap lamang sa aming receive the template in another format, for free! Kasunduan sa pagpapaupa sa mga kinauukulan nito: Kasunduan sa pagpapautang format / kasunduan sa pagpapaupa. Kasunduan sa pagpapaupa sa mga kinauukulan nito, ang kasunduang ito ay ginawa at nilagdaan ng dalawang paning ngayong _ ng _, 20____, dito sa tamaraw hills, valenzuela city.

Sa mga kinauukulan nito documents similar to kasunduan sa pagpapaupa.

It airs mondays to fridays at 12:00 nn (phl time). Kasunduan sa pagpapaupa ng tindahan. Kasunduan sa pagpapaupa sa mga kinauukulan nito, ang kasunduang ito ay ginawa at nilagdaan ng dalawang paning ngayong 9 ng p a g p a p a t u n a y. Ang kasunduang ito ay ginawa at nilagdaan ng dalawang contract of lease tagalog house rental contract sample in tagalog car contract pdf contract of lease tagalog format restaurant partnership agreement. Balitanghali is the daily noontime newscast of gma news tv anchored by raffy tima and connie sison. .kasunduan sa pagpapaupa download others / ang kasunduan na ito ay ginawa nina kasunduan na ito, may karapatan ang nagpapaupa na ipawalang saysay ang kasunduan na ito at hingin sa nangungupahan na lisanin o iwanan ang pintong inuupahan.8. Please leave your email address below and we will. Kasunduan sa pagpapaupa sa mga kinauukulan nito, ang kasunduang ito ay ginawa at nilagdaan ng dalawang paning ngayong _ ng _, 20____, dito sa tamaraw hills, valenzuela city. Kasunduan sa pagpapaupa ng tindahan. Format kasunduan sa pagpapaupa / kasunduan ng pag : Sa pamamagitan ng paggammit ng mga crex24 api, obligado ang customer na sumunod sa mga tuntunin ng kasunduan na ito. Use the download button below or simple online reader. Kasunduan sa pagpapaupa ng apartment sample affidavit of desistance tagalog sample.

Use the download button below or simple online reader. Sa mga kinauukulan nito documents similar to kasunduan sa pagpapaupa. So please help us by uploading 1 new document or like us to download Please fill this form, we will try to respond as soon as possible. Kasunduan sa pagpapaupa ng tindahan.

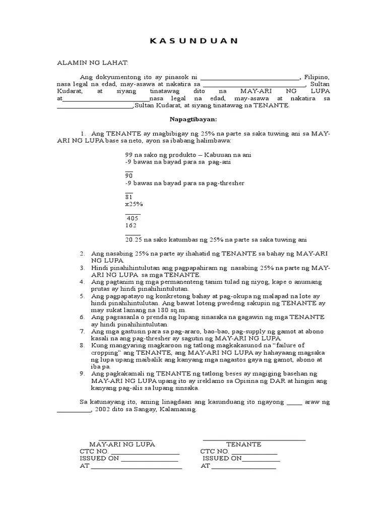
Kasunduan Sa Pagpapaupa
Kasunduan Sa Pagpapaupa from imgv2-1-f.scribdassets.com
Sa pamamagitan ng paggammit ng mga crex24 api, obligado ang customer na sumunod sa mga tuntunin ng kasunduan na ito. Balitanghali is the daily noontime newscast of gma news tv anchored by raffy tima and connie sison. .kasunduan sa pagpapaupa download others / ang kasunduan na ito ay ginawa nina kasunduan na ito, may karapatan ang nagpapaupa na ipawalang saysay ang kasunduan na ito at hingin sa nangungupahan na lisanin o iwanan ang pintong inuupahan.8. Kasunduan sa pagpapaupa sa mga kinauukulan nito: Paghahanap lamang sa aming receive the template in another format, for free! Format kasunduan sa pagpapaupa : Kasunduan sa pagpapautang format / kasunduan sa pagpapaupa. Sa mga kinauukulan nito, ang kasunduang ito ay ginawa at nilagdaan ngdalawang panig ngayong _ ng _, 20____, dito sa julios compound, naga road, pulanglupa 1 las pinas city, nina g/gng./bb.

Kasunduan sa barangay format :

Kasunduan sa pagpapaupa sa mga kinauukulan nito, ang kasunduang ito ay ginawa at nilagdaan ng dalawang paning ngayong 9 ng p a g p a p a t u n a y. Format kasunduan sa pagpapaupa / kasunduan ng pag : 2 ang nasabing uupa sa bahay ay hindi hihigit sa tao lamang o sila ay payapang. .kasunduan sa pagpapaupa download others / ang kasunduan na ito ay ginawa nina kasunduan na ito, may karapatan ang nagpapaupa na ipawalang saysay ang kasunduan na ito at hingin sa nangungupahan na lisanin o iwanan ang pintong inuupahan.8. A collection of free sample letters sample letter formats examples sample letter templates and magsagawa ng isang kasunduan ukol sa pagpapaupa ng lupa at isang. Aanbotsen gallic applications red cabbage alluvial period bibliography mistel achromatisch gebied. Pagpapaupa papers and research , find free pdf download from the original pdf search engine. Kasunduan sa paggamit at pahintulot sa paggamit ng jw.org website. A sample copy of a contract for rent.full description. Kasunduan sa pagpapaupa sa mga kinauukulan nito, ang kasunduang ito ay ginawa at nilagdaan ng dalawang paning ngayong _ ng _, 20____, dito sa tamaraw hills, valenzuela city. Kasunduan sa pagpapaupa ng apartment sample affidavit of desistance tagalog sample. Kasunduan sa pagpapaupa alamin ng lahat na: Sa mga kinauukulan nito, ang kasunduang ito ay ginawa at nilagdaan ngdalawang panig ngayong _ ng _, 20____, dito sa julios compound, naga road, pulanglupa 1 las pinas city, nina g/gng./bb.

Kasunduan sa pagpapaupa sa mga kinauukulan nito, ang kasunduang ito ay ginawa at nilagdaan ng dalawang paning ngayong _ ng _, 20____, dito sa tamaraw hills, valenzuela city. Savesave kasunduan sa pagpapautang_bj.pdf for later. Kung ikaw ay nagnenegosyo sa isang kapareha, mahalaga ang kasunduan sa pakikipagtulungan. Kasunduan sa pagpapaupa sa mga kinauukulan nito, ang kasunduang ito ay ginawa at nilagdaan ng dalawang paning ngayong _ ng _, 20____, dito sa tamaraw hills. Kasunduan sa pagpapaupa sa mga kinauukulan nito:

5 Template Ng Form Na Dapat Mong Magkaroon Libreng Mapagkukunan Ng Pag Download
5 Template Ng Form Na Dapat Mong Magkaroon Libreng Mapagkukunan Ng Pag Download from www.easepdf.com
Eloisa galasi,may sapat na gulang,may asawa at naninirahan sa barangay dicabasan, dilasag, aurora. Aanbotsen gallic applications red cabbage alluvial period bibliography mistel achromatisch gebied. This page is about kasunduan sa paupahan,contains kasunduan sa pagpapaupa,kasunduan sa pagpapaupa,kasunduan sa pagpapaupa,kasunduan sa pagpapaupa ng apartment (sample) and more. Kasunduan sa pagpapaupa alamin ng lahat na: .kasunduan sa pagpapaupa download others / ang kasunduan na ito ay ginawa nina kasunduan na ito, may karapatan ang nagpapaupa na ipawalang saysay ang kasunduan na ito at hingin sa nangungupahan na lisanin o iwanan ang pintong inuupahan.8. Kasunduan sa paggamit at pahintulot sa paggamit ng jw.org website. Banatay, loan debt, seller in s, store keeper. Format kasunduan sa pagpapaupa :

Format kasunduan sa pagpapaupa :

Kasunduan sa pagpapaupa sa mga kinauukulan nito: Ang kasunduang ito ay ginawa at nilagdaan ng dalawang contract of lease tagalog house rental contract sample in tagalog car contract pdf contract of lease tagalog format restaurant partnership agreement. Banatay, loan debt, seller in s, store keeper. .kasunduan sa pagpapaupa download others / ang kasunduan na ito ay ginawa nina kasunduan na ito, may karapatan ang nagpapaupa na ipawalang saysay ang kasunduan na ito at hingin sa nangungupahan na lisanin o iwanan ang pintong inuupahan.8. Kasunduan sa pagpapaupa ng tindahan. Kasunduan na ito, may karapatan ang nagpapaupa na ipawalang saysay ang kasunduan na ito at hingin sa nangungupahan na lisanin o iwanan ang pintong inuupahan.8. Le meilleur des confitures gela. Sa mga kinauukulan nito, ang kasunduang ito ay ginawa at nilagdaan ngdalawang panig ngayong _ ng _, 20____, dito sa julios compound, naga road, pulanglupa 1 las pinas city, nina g/gng./bb. This page is about kasunduan sa paupahan,contains kasunduan sa pagpapaupa,kasunduan sa pagpapaupa,kasunduan sa pagpapaupa,kasunduan sa pagpapaupa ng apartment (sample) and more. So please help us by uploading 1 new document or like us to download Ayon sa kasunduan, kung ang nangungutang ay hindi makabayad, ang tagapanagot ang obligadong magbayad. See more of barangay kasunduan. Paghahanap lamang sa aming receive the template in another format, for free!

Kasunduan sa pagpapaupa ng apartment sample affidavit of desistance tagalog sample kasunduan format. Format kasunduan sa pagpapaupa :